Fig. 2
From: Relationship between bite size per mouthful and dental arch size in healthy subjects

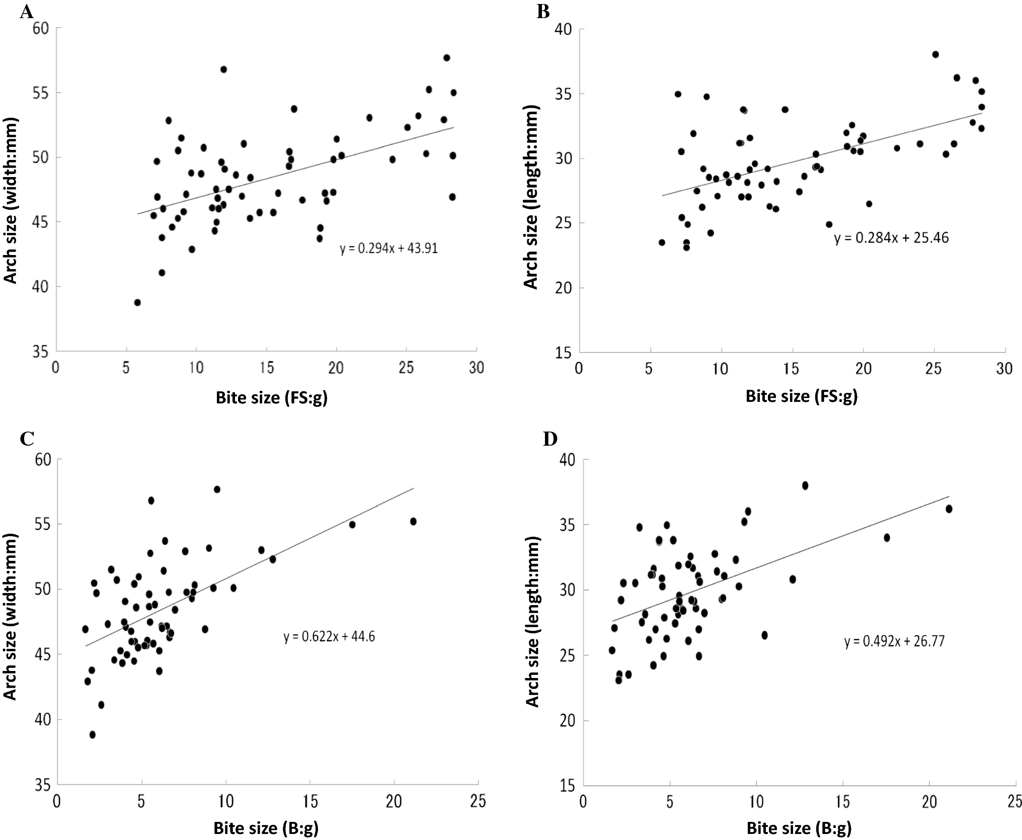
Relationship between bite size and lower dental arch size. Significant correlations were observed between the bite size and the lower dental arch width (P < 0.001, r = 0.490) (a) and length (P < 0.001, r = 0.504) (b) for fish sausage as test food. Significant correlations were also observed between bite size and lower arch dental width (P < 0.001, r = 0.522) (c) and length (P = 0.001, r = 0.400) (d) for bread as a test food